Synthèse de résultats cliniques

Effets de l'Helichrysum Gymnocephalum dans le prurit associé à la dermatite atopique
Efficacité pharmacologique de l'Helichrysum Gymnocephalum dans la voie pruritogène de la dermatite atopique
Effet anti-inflammatoire de l'Helichrysum gymnocephalum sur IL-8 et TSLP
Culture de kératinocytes (N= 3).
Création d'une simulation d'inflammation avec des kératinocytes stimulés par IL-4 et IL-13 pendant 24h.

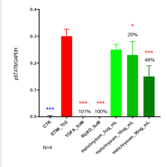
Effet anti-inflammatoire de l'Helichrysum gymnocephalum sur la voie JAK 1/2-STAT6
Les inhibiteurs de JAK sont considérés comme les principaux traitements de la dermatite atopique.
Il était donc important pour nous de réaliser une étude pharmacologique sur la voie JAK afin de comparer l'efficacité de notre principe actif aux inhibiteurs de JAK.
IL-4/IL-13 Stimulation : 15 min

STAT6 phosphorylation

Lien de communication important entre l'IL-31 et le Brain Natriuretic Peptide (BNP)
L'IL-31 joue un rôle majeur dans le prurit en provoquant la multiplication et le développement des neurites (fibres neurosensorielles) par l'intermédiaire de biomarqueurs tels que le BNP. La libération et la synthèse accrues de BNP par l'IL-31 pourraient contribuer à la signalisation centrale et périphérique du prurit.

Effet anti-inflammatoire de l'Helichrysum gymnocephalum sur le Brain Natriuretic Peptide (BNP)
Co-culture de neurones sensoriels et de kératinocytes.

Effet anti-inflammatoire de l'Helichrysum gymnocephalum sur la croissance nerveuse
Co-culture de neurones sensoriels et de kératinocytes.

.

Conclusion
L'extrait d'Helichrysum gymnocephalum inhibe :
- la production de TSLP et d'IL-8
- la phosphorylation de la voie JAK/STAT
L'Helichrysum gymnocephalum a démontré son efficacité à bloquer la croissance des neurites ainsi que la production de BNP.
Il existe donc des propriétés anti-inflammatoires et antipruritogènes spécifiques pour la dermatite atopique par l'intermédiaire de la voie JAK/STAT.
Encore plus de synthèses de résultats cliniques
Vous souhaitez poursuivre votre lecture ?
Cet accès est réservé aux professionnels, inscrits sur Pierre Fabre For Med.
Pour accéder à l’intégralité du contenu, veuillez vous inscrire ou vous connecter si vous possédez déjà un compte.