Synthèse de résultats cliniques

Evaluation du bénéfice de l’hydrothérapie à base d’Eau Thermale Avène sur le prurit chronique des adultes atteints de psoriasis en plaques, sous contrôle dermatologique
Etude multicentrique comparative versus groupe contrôle (traitements conventionnels seuls)
Population
44 sujets adultes âgés de 29 à 80 ans présentant un prurit chronique modéré à sévère lié à un psoriasis en plaques, et sous traitements systémiques et/ou topiques stables.
Application de l’Eau Thermale Avène
Protocole d’hydrothérapie pendant 3 semaines, puis 6 mois de suivi
Critères d’évaluation
- Intensité du prurit (Score NRS de 0 à 10)
- Evolution de l'intensité du prurit par rapport à l'inclusion (vDPS, visual Dynamic Pruritus Score)
- Impact sur la qualité de vie des sujets (score ItchyQoL)
Résultats
- Amélioration hautement significative de l’intensité moyenne du prurit sur les 3 jours précédents (NRS) pour le groupe hydrothérapie à la fin de la phase d’hydrothérapie (-50%, p<0,001) et durant toute la période de suivi (-53% à V3/3 mois, -48% à V4/6 mois, p<0,001)
- Différence significative versus groupe contrôle à toutes les visites (p<0,001 à V2 et V3, p<0,05 à V4)

Evolution du score de prurit au cours des 3 jours précédents (NRS)
pendant la phase d’hydrothérapie et la phase de suivi
* p= statistiquement Significatif (p<0,05, versus V1)
** p= statistiquement Hautement Significatif (p<0,001, versus V1)
* p= statistiquement Significatif (p<0,05, analyse intergroupes)
** p= statistiquement Hautement Significatif (p<0,001, analyse intergroupes)
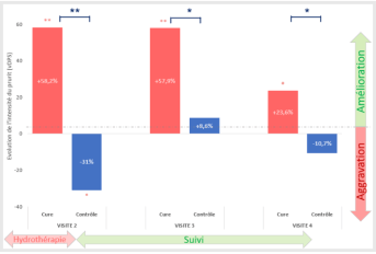
- Amélioration significative de l'intensité du prurit par rapport à l’inclusion (vDPS) dans le groupe hydrothérapie à la fin de la phase d’hydrothérapie (+58%, p<0,001) et durant toute la période de suivi (+58% à V3/3 mois, p<0,001 ; +24% à V4/6 mois, p<0,05). Aggravation dans le groupe contrôle à toutes les visites
- Différence significative versus groupe contrôle à toutes les visites (p<0,001 à V2, p<0,05 à V3/3 mois et V4/6 mois)

Evolution de l'intensité du prurit versus inclusion (vDPL)
pendant la phase d’hydrothérapie et la phase de suivi
* p= statistiquement Significatif (p<0,05, versus V1)
** p= statistiquement Hautement Significatif (p<0,001, versus V1)
* p= statistiquement Significatif (p<0,05, analyse intergroupes)
** p= statistiquement Hautement Significatif (p<0,001, analyse intergroupes)
- Amélioration hautement significative de la qualité de vie (ItchyQoL) dans le groupe hydrothérapie à la fin de la phase d’hydrothérapie (-36%, p<0,001) et durant toute la période de suivi (-33% à V3/3 mois, -27% à V4/6 mois, p<0,001)
- Différence significative versus groupe contrôle à toutes les visites (p<0,05)

Evolution du score de qualité de vie (ItchyQoL)
pendant la phase d’hydrothérapie et la phase de suivi
* p= statistiquement Significatif (p<0,05, versus V1)
** p= statistiquement Hautement Significatif (p<0,001, versus V1)
* p= statistiquement Significatif (p<0,05, analyse intergroupes)
Conclusion
L'hydrothérapie à base d’eau thermale Avène apporte un bénéfice à long terme comme soin complémentaire dans la prise en charge du prurit modéré à sévère associé au psoriasis en plaques
Vous souhaitez poursuivre votre lecture ?
Cet accès est réservé aux professionnels, inscrits sur Pierre Fabre For Med.
Pour accéder à l’intégralité du contenu, veuillez vous inscrire ou vous connecter si vous possédez déjà un compte.